Esercizio N° 2 (sui trasformatori monofasi, linea - TR - carico, rifasamento)

Un trasformatore monofase presenta i seguenti dati di targa :

Sn = 10 [kVA] , V1n = 380 [V] , V20n = 240 [V] , fn = 50 [Hz]

Po% = 3 , Io% = 5 , Pcc% = 4 , Vcc% = 7

Il trasformatore, alimentato da una linea monofase di resistenza RL = 0,8 [W] e reattanza XL = 0,7 [W], alimenta un'utenza monofase che assorbe la potenza Pu = 6 [kW] con cosju = 0,8 in ritardo.

Sapendo che la tensione applicata alla partenza della linea vale Vp = 400 [V], 50 [Hz] determinare :

a) la tensione d'uscita del trasformatore, la corrente erogata ed il relativo fattore di potenza ;

b) la tensione al primario del trasformatore, la corrente assorbita ed il relativo fattore di potenza ;

c) il rendimento della linea, quello del trasformatore e quello totale ;

d) il fattore di carico del trasformatore ;

e) la c.d.t. industriale totale ;

f) la capacità per rifasare a 0,9 in ritardo il primario del trasformatore e la corrente di linea dopo il rifasamento, nell'ipotesi che la tensione al primario rimanga invariata.

Risoluzione

L'impianto può essere riassunto nel seguente schema unifilare :


Nello schema si sono messe in evidenza per le sue diverse sezioni la tensione, le potenze ed il fattore di potenza. Questo perché la risoluzione si basa, tra l'altro, sulla applicazione ripetuta del teorema di Boucherot e, così facendo, risulta più semplice contabilizzare correttamente le varie potenze.

Risposta alla domanda a)

Essendo nota la tensione di alimentazione della linea Vp e dovendosi trovare la tensione d'uscita del trasformatore V2, conviene fare riferimento al circuito equivalente nel quale siano riportati al secondario sia i parametri longitudinali del trasformatore che quelli della linea. Ovviamente tutto ciò significa trasportare i parametri trasversali del trasformatore a monte di tutto ed immaginarli sottoposti alla tensione di partenza della linea anziché alla f.e.m. primaria del trasformatore. Detto diversamente, si assume la f.e.m. primaria del trasformatore costante e pari alla tensione di partenza della linea.

Per determinare i parametri longitudinali Re", Xe" del trasformatore si fa riferimento ai dati di targa relativi alla prova in cortocircuito, quindi :

Per riportare al secondario del trasformatore i parametri della linea, essendo questa al primario, dovrò dividere per il quadrato del rapporto nominale di trasformazione :


I parametri longitudinali equivalenti complessivi (linea più trasformatore) varranno :


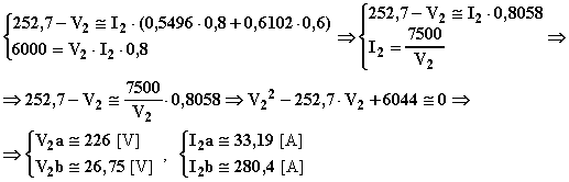
Essendo applicata alla linea la tensione Vp = 400 [V], considerando il circuito equivalente semplificato avremo una tensione secondaria a vuoto pari a V20T = Vp/Ko = 400/1,583 = 252,7 [V].

La tensione d'uscita e la corrente erogata dal trasformatore dovranno soddisfare sia la c.d.t. industriale complessiva che la potenza attiva trasferita al carico, quindi è lecito impostare il sistema :

Questo sistema è di secondo grado (in quanto nella seconda equazione le due incognite V2 ed I2 sono tra di loro moltiplicate) e conduce ad una soluzione approssimata essendo approssimata la prima equazione. Delle due soluzioni si accetterà quella compatibile coi dati di targa del trasformatore.

Considerando che la corrente secondaria nominale del trasformatore vale 41,67 [A], la soluzione accettabile è :

V2 = 226 [V] , I2 = 33,19 [A] , cosj2 = cosju = 0,8r

La soluzione scartata offre, come vedremo, quale valore di tensione la caduta industriale dell'impianto.

Risposta alla domanda b)

Per determinare la tensione al primario del trasformatore applico il teorema di Boucherot, con riferimento allo schema unifilare posso scrivere :

La tensione al primario varrà :

Per determinare la corrente assorbita al primario I1 ed il relativo fattore di potenza cosju1 si utilizzerà ancora una volta il teorema di Boucherot  risalendo al primario. Si dovrà tenere conto del fatto che le perdite nel ferro e la potenza reattiva impegnata per sostenere il flusso avranno valori diversi da quelli assunti nella prova a vuoto, questo perché la tensione di alimentazione del trasformatore non è quella nominale.


Risposta alla domanda c)

Per determinare il rendimento della linea devo risalire alla potenza alla partenza della linea :

Risposta alla domanda d)


Risposta alla domanda e)

La c.d.t. totale può essere determinata in modo approssimativo facendo riferimento al circuito equivalente avente al secondario sia i parametri longitudinali del trasformatore che la linea :

Così facendo non si tiene conto della caduta di tensione che la corrente assorbita a vuoto dal trasformatore produce nella linea (oltre alla caduta di tensione che la stessa corrente produce nel primario del trasformatore).

Volendo, è possibile calcolare separatamente la c.d.t. nel trasformatore DV2TR e quella nella linea DVL , quindi sommare le due tenendo conto del fatto che quella nella linea deve essere riportata al secondario del trasformatore :


Risposta alla domanda f)

Con ovvio significato dei simboli :

Il rifasamento, riducendo la corrente di linea, determinerà per la linea stessa un aumento del rendimento ed una diminuzione della caduta di tensione industriale.

Trasformatori
Programma per la classe quarta
Home Page