Circuito equivalente semplificato ridotto al secondario

E' il più utilizzato dei circuiti equivalenti. Se si trascurano le c.d.t. provocate dalla sulla impedenza (la qual cosa è lecita essendo in condizioni di funzionamento nominali la corrente a vuoto pochi percento della corrente assorbita al primario), allora si può immaginare che i rami trasversali siano sottoposti alla anziché e quindi è possibile trasportarli a monte di tutto il circuito. Ciò equivale a ritenere il flusso nel trasformatore costante al variare del carico (purché siano costanti la tensione e la frequenza di alimentazione). In tale ipotesi si può ritenere che l'impedenza sia percorsa dalla anziché dalla e si può scrivere:

Ricordando le relazioni che legano le f.e.m. e le correnti attraverso il rapporto di spire e moltiplicando ambo i membri per si ottiene:

Risolvendo rispetto alla f.e.m. secondaria si ha:

Si osserva che essendo , sarà:

Applicando la legge di Ohm al secondario e sostituendo si ottiene:

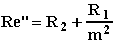
Vengono chiamate resistenza equivalente secondaria [W] :

e reattanza equivalente secondaria [W]:

così che la legge di Ohm si può riscrivere come:

correttamente trascritta nel circuito equivalente sopra disegnato.

Volendo si possono portare al secondario anche i parametri trasversali, è facile verificare che anch'essi devono essere divisi per il quadrato del rapporto di spire.

Trasformatori
Programma per la classe quarta
Home Page