Viene definita come la differenza aritmetica tra il valore efficace della tensione d'uscita a vuoto ed il valore efficace della tensione d'uscita a carico DV2 = V20 - V2 [V], mantenendo costante la tensione e la frequenza d'alimentazione.
E' possibile calcolarla con un'espressione semplificata. Con riferimento al circuito equivalente semplificato avente i parametri riportati al secondario ed alla figura riportata sopra (relativa ad un carico di natura Ohmico-induttiva), possiamo scrivere:
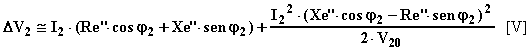
Se l'angolo d è piccolo (pochi gradi), allora l'arco C_D si può confondere con la semicorda C_E, ovvero si può trascurare E_D rispetto A_D, così che si ha:


Per trasformatori correttamente dimensionati e che erogano su carichi normali (Ohmico-induttivi), l'espressione approssimata sopra dimostrata è sufficientemente precisa. Volendo, esiste un'espressione meglio approssimata che noi non stiamo a dimostrare:
Molte volte la c.d.t. industriale viene espressa percentualmente rispetto alla tensione secondaria a vuoto oppure a carico. Nei trasformatori ben costruiti, la c.d.t. industriale a pieno carico assume valori percentuali poco discosti dal 4%.
Trasformatori
Programma per la classe quarta
Home Page