Rapporto di trasformazione, spostamento angolare nei TR trifasi

Si definisce rapporto di trasformazione nominale di un trasformatore trifase:

dove le tensioni sono quelle concatenate. Vedremo che tale rapporto non sempre coincide col rapporto di spire m = N1 / N2.

Si denota col nome di spostamento angolare l'angolo, misurato quale ritardo della bassa tensione rispetto all'alta tensione, che determina la reciproca posizione angolare fra la terna delle tensioni concatenate (o stellate) dal lato AT e la terna delle tensioni concatenate (o stellate) dal lato bt. Tale spostamento angolare è funzione del tipo di collegamento dell'avvolgimento AT e dell'avvolgimento bt.

Lo spostamento angolare è determinante per il collegamento in parallelo dei trasformatori trifasi, infatti due trasformatori trifasi possono essere collegati in parallelo solo se hanno lo stesso spostamento angolare. Questo perché nel caso di diversi spostamenti angolari si avrebbe la circolazione di una elevatissima (non sopportabile) corrente nella maglia formata dai secondari dovuta al fatto che, nella maglia stessa, le f.e.m. a vuoto non si troverebbero tra di loro in opposizione.

Si denota col nome di gruppo il numero ottenuto dividendo lo spostamento angolare per 30°. I gruppi possibili sono 0, 1, 2, ..., 11. I vari gruppi originano le seguenti famiglie:

famiglia I : gruppi 1, 5, 9

famiglia II : gruppi 2, 6, 10

famiglia III : gruppi 3, 7, 11

famiglia IV : gruppi 0, 4, 8

I gruppi appartenenti alla medesima famiglia sono tra di loro scambiabili con la semplice ridefinizione della morsettiera del trasformatore. I gruppi marcati sono quelli ai quali le norme CEI facevano riferimento prima dell'introduzione della classificazione in famiglie.

I manuali per periti elettrotecnici riportano delle tabelle che mostrano per i vari collegamenti possibili quale è il gruppo di appartenenza. Il trasformatore viene classificato mediante una sigla composta dalla successione di un carattere maiuscolo (Y per la stella, D per il triangolo) che denota il tipo di collegamento dal lato AT, un carattere minuscolo (y per la stella, d per il triangolo, z per lo zig-zag) che denota il tipo di collegamento dal lato bt, un numero che denota il gruppo di appartenenza. Se il secondario è a stella (o a zig-zag) e vi è il collegamento del centro al neutro si aggiunge alla sigla il carattere n.

Vediamo alcuni esempi. Per ottenere lo spostamento angolare è importante disegnare la terna delle f.e.m. dal lato di AT ponendo la f.e.m. della seconda fase con l'estremità rivolta in alto. Inoltre, le terne si riportano sotto forma di triangolo equilatero nel caso di collegamento delle fasi a triangolo, sotto forma di stella simmetrica nel caso di collegamento delle fasi a stella. Infine bisogna tenere presente che il senso ciclico delle fasi cui fare riferimento è quello antiorario normale (prima fase in anticipo di 120° sulla seconda, a sua volta in anticipo di 120° sulla terza). Per ultimo, il confronto viene fatto con riferimento alle tensioni stellate relative alla prima fase VAY (alta tensione), VaY (bassa tensione).

Yy0 (primario e secondario a stella)

Il rapporto di trasformazione vale:

Lo spostamento angolare vale a = 0° e quindi il gruppo è lo 0.

Yy6 (primario e secondario a stella, con la stella al secondario rovesciata)

Questo collegamento si può pensare ottenuto dal precedente spostando il centro della stella al secondario dalla parte opposta delle bobine, oppure lasciando inalterato il centro della stella e cambiando il senso di avvolgimento delle bobine dal lato secondario rispetto al senso di avvolgimento delle bobine dal lato primario.

Il rapporto di trasformazione vale:

Lo spostamento angolare vale a = 180° e quindi il gruppo è il 6.

Dd0 (primario e secondario a triangolo)

Il rapporto di trasformazione vale:

Lo spostamento angolare vale a = 0° e quindi il gruppo è lo 0.

Yd11 (primario a stella e secondario a triangolo rovesciato)

Il rapporto di trasformazione vale:

Lo spostamento angolare vale a = 330° e quindi il gruppo è l' 11.

Dy11 (primario a triangolo e secondario a stella)

Il rapporto di trasformazione vale:

Lo spostamento angolare vale a = 330° e quindi il gruppo è l' 11.

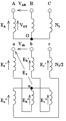
Yz11 (primario a stella e secondario a zig-zag)

Ciascuna fase dell'avvolgimento a zig-zag è costituita da due bobine uguali, collocate su colonne contigue, collegate in serie unendo insieme una coppia di capi non corrispondenti delle due bobine. Le tre fasi dell'avvolgimento a zig-zag si collegano a stella unendo insieme una terna di capi corrispondenti delle tre fasi. Con riferimento allo schema sotto riportato si ha:

Il rapporto di trasformazione vale:

Lo spostamento angolare vale a = 330° e quindi il gruppo è l' 11.

E' il caso di osservare che, a parità di tensione primaria e di numero di spire N1 ed N2, la tensione secondaria nel trasformatore Yz è minore della tensione secondaria del trasformatore Yy ( risulta essere V20Yz = 0,866·V20Yy ) e perciò anche la potenza del trasformatore Yz, a parità di correnti nominali, è inferiore nella stessa misura rispetto alla potenza del trasformatore Yy.

Dy5 (primario a triangolo e secondario a stella rovesciata)


Il rapporto di trasformazione vale:

Lo spostamento angolare vale a = 150° e quindi il gruppo è il 5.

Trasformatori
Programma per la classe quarta
Home Page