Trasformatori di misura

Servono ad adeguare i valori di tensione e corrente alternata alle portate di voltmetri ed amperometri. Nel primo caso si parla di trasformatori (riduttori) voltmetrici, nel secondo di trasformatori (riduttori) amperometrici.

Trasformatori voltmetrici.

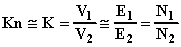
Sono trasformatori aventi numero di spire al primario N1 maggiore del numero di spire al secondario N2. Affinché il rapporto di trasformazione effettivo K sia molto vicino al rapporto di trasformazione nominale Kn è necessario che sia trascurabile la caduta di tensione interna e questo accade solo se il trasformatore funziona in condizioni prossime al funzionamento a vuoto, in tali condizioni è infatti:

Sempre per rendere trascurabile la c.d.t. interna bisogna che siano estremamente piccole la resistenza Ohmica e la reattanza di dispersione dei due avvolgimenti, tutte queste condizioni si realizzano adottando per gli avvolgimenti delle densità di corrente molto più piccole di quelle tenute nei trasformatori industriali e curando l'accoppiamento elettromagnetico tra il primario ed il secondario così da minimizzare i flussi dispersi.

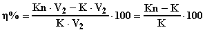
Si definisce errore di rapporto percentuale:

dove (Kn·V2) è la tensione al primario calcolata attraverso il prodotto della tensione secondaria per il rapporto di trasformazione nominale e V1 è la effettiva tensione primaria. Se K è l'effettivo rapporto di trasformazione sarà anche:

Si definisce errore d'angolo l'angolo di sfasamento tra e , considerandolo positivo se la seconda è in anticipo sulla prima e negativo viceversa. Questo errore non ha alcun effetto sulle misure della sola tensione, influenza invece le misure di potenza (o d'energia) per le quali è necessario che lo sfasamento esistente tra la tensione e la corrente di linea sia lo stesso che si ha tra la tensione e la corrente di linea (è noto infatti come la potenza sia determinata dal cosj, oltre che dai valori efficaci di tensione e corrente).

I dati di targa più significativi del trasformatore di tensione sono:

a) prestazione nominale Sn [VA], è la massima potenza apparente che il TV può erogare sugli equipaggi voltmetrici (tutti in parallelo) da esso alimentati senza che il TV superi i limiti di errore caratterizzati dalla sua classe di appartenenza (la prestazione è riferita al fattore di potenza nominale che vale convenzionalmente 0,8r);

b) tensione nominale primaria V1n [V], tensione nominale secondaria V2n [V] uniformata a 100 [V];

c) frequenza nominale [Hz];

d) rapporto nominale di trasformazione  ;

e) classe di precisione, che delimita gli errori d'angolo e di rapporto;

Mediante la prestazione e la tensione secondaria nominale è possibile determinare la massima ammettenza (o la minima impedenza) che è possibile collegare al secondario del TV, sarà infatti:

Le protezioni ammesse per i TV sono quelle contro i cortocircuiti, quindi i fusibili che vanno posti sul primario o sul secondario (o su entrambi i lati).

Trasformatori amperometrici.

Sono trasformatori aventi numero di spire al primario N1 minore del numero di spire al secondario N2. Per questi trasformatori il rapporto di trasformazione è definito come rapporto tra la corrente al primario e corrente al secondario. Affinché il rapporto di trasformazione effettivo K sia molto vicino al rapporto di trasformazione nominale Kn è necessario che sia trascurabile la corrente a vuoto rispetto alla corrente di reazione primaria e questo accade solo se il trasformatore funziona in condizioni prossime al funzionamento in cortocircuito, in tali condizioni è infatti:

Per rendere trascurabile la corrente a vuoto rispetto alla corrente di reazione bisogna tenere molto bassa l'induzione nel nucleo ed usare lamierini a bassissima perdita specifica, ovvero bisogna tenere una sezione del nucleo molto più grande di quella di un equivalente trasformatore industriale. E' evidente che il primario andrà inserito in serie alla linea della quale si intende misurare la corrente. Volendo si può limitare il primario ad un'unica spira, in questo caso non è necessario interrompere la linea sulla quale si deve fare la misura in quanto il filo stesso della linea costituisce l'unica spira primaria. L'avvolgimento secondario andrà sistemato attorno al filo di linea, le ampiamente usate pinze amperometriche altro non sono che TA ad un'unica spira primaria.

Si definisce errore di rapporto percentuale:

dove (Kn·I2) è la corrente al primario calcolata attraverso il prodotto della corrente secondaria per il rapporto di trasformazione nominale e I1 è la effettiva corrente primaria. Se K è l'effettivo rapporto di trasformazione sarà anche:

Si definisce errore d'angolo l'angolo di sfasamento tra e , considerandolo positivo se la seconda è in anticipo sulla prima e negativo viceversa. Questo errore non ha alcun effetto sulle misure della sola corrente, influenza invece le misure di potenza (o d'energia) per le quali è necessario che lo sfasamento esistente tra la corrente e la tensione di linea sia lo stesso che si ha tra la corrente e la tensione di linea (è noto infatti come la potenza sia determinata dal cosj, oltre che dai valori efficaci di tensione e corrente).

I dati di targa più significativi del trasformatore di corrente sono:

a) prestazione nominale Sn [VA], è la massima potenza apparente che il TA può erogare sugli equipaggi amperometrici (tutti in serie) da esso alimentati senza che il TA superi i limiti di errore caratterizzati dalla sua classe di appartenenza (la prestazione è riferita al fattore di potenza nominale che vale convenzionalmente 0,8r);

b) corrente nominale primaria I1n [A], corrente nominale secondaria I2n [A] uniformata a 5 [A];

c) frequenza nominale [Hz];

d) rapporto nominale di trasformazione ;

e) classe di precisione, che delimita gli errori d'angolo e di rapporto.

Mediante la prestazione e la corrente secondaria nominale è possibile determinare la massima impedenza che è possibile collegare al secondario del TA, sarà infatti:

La protezione ammessa per il TA è una valvola di tensione posta sul secondario. Infatti nel caso in cui il TA si venisse a trovare a vuoto si verificherebbe una elevatissima sopraelevazione di tensione ai morsetti secondari. La causa di questo sta nell'aumento di forza magnetomotrice conseguente all'assenza di corrente secondaria mentre permane la normale corrente al primario. Considerando la bassissima induzione nel ferro che normalmente si ha nel TA, l'aumento della forza magnetomotrice produce un aumento dell'induzione e del flusso fino alla saturazione con conseguente aumento della f.e.m. indotta al secondario e della relativa tensione. L'intervento della valvola di tensione impedisce a tale tensione di raggiungere valori pericolosi.

Trasformatori
Programma per la classe quarta
Home Page