Rilievo della cifra specifica di perdita di una lamiera ferromagnetica

Le perdite nel ferro del nucleo di una macchina elettrica sono dovute all'isteresi magnetica ed alle correnti parassite. L'entità di tali perdite, riferite ad 1 [kg] di ferro, ammonta rispettivamente a:

Pis = Kis·f·BMa [W/kg] , a = 1,6 se BM < 1 [Wb / m2], a = 2 se BM ³ 1 [Wb / m2]

Pcp = Kcp·(Kf·f·BM)2 [W/kg] , dove Kf è il fattore di forma del flusso alternato.

In tali espressioni BM è il valore massimo dell'induzione alternata, Kis e Kcp sono due costanti dipendenti dal tipo di mezzo ferromagnetico.

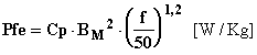
Entrambe le perdite si possono riassumere nell'espressione:

Si tratta di una espressione empirica, dove Cp è la cifra specifica di perdita che rappresenta le perdite in 1 [kg] di ferro quando la frequenza vale 50 [Hz] e l'induzione massima vale 1 [Wb/m2].

Come si vede, al fine di contenere le perdite ed avere quindi un elevato rendimento, è importante conoscere la cifra specifica di perdita della lamiera ferromagnetica dalla quale si ricaveranno i lamierini impiegati per la costruzione del nucleo. Allo scopo si esegue una adatta misura.

Trasformatori
Programma per la classe quarta
Home Page