Sistema simmetrico a tre fili e carico squilibrato a triangolo

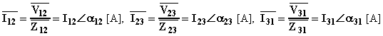
Con riferimento allo schema si calcolano per prima cosa le correnti di fase:

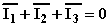
Quindi, applicando Kirchhoff, si calcolano le correnti di linea:

Le tre correnti dovranno soddisfare la condizione .

Per quanto riguarda le potenze:

Sistemi trifasi
Programma per la classe quarta
Home Page