Sistema simmetrico a tre fili e carico squilibrato a stella

Mancando il collegamento del centro stella 0' al neutro 0 non si può più dire che la tensione applicata a ciascuna impedenza coincida con la tensione stellata. In effetti le tensioni applicate alle singole fasi dipendono dal valore delle impedenze e si possono determinare dopo avere determinato lo spostamento del centro stella [V], ovvero la differenza di potenziale esistente tra il centro della stella ed il neutro.


Tutto questo è possibile applicando il principio di Millman alla rete equivalente al sistema trifase:

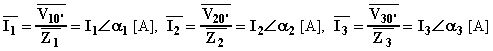
La tensione applicata a ciascuna impedenza varrà:

La corrente in ciascuna fase (che corrisponde alla corrente di linea), varrà:

Le tre correnti dovranno soddisfare la condizione .

Per quanto riguarda le potenze valgono le stesse equazioni del caso precedente.

Come si vedrà, le potenze possono anche essere determinate tramite l'inserzione di wattmetri sui fili di linea. Nel caso di sistemi simmetrici e squilibrati, siano essi col carico a stella che a triangolo, per la potenza attiva si usa lo schema Aron, per la potenza reattiva si usa lo schema Righi o lo schema Barbagelata.

Si definisce f.d.p. globale:

Osservazione: nei sistemi trifasi simmetrici e squilibrati, siano essi col carico a stella che a triangolo, per sfasamento globale jG si intende l'angolo del quale è necessario ruotare rigidamente la terna (non simmetrica) dei vettori rappresentanti le correnti di linea al fine di rendere massima la potenza attiva dell'intero sistema.

Sistemi trifasi
Programma per la classe quarta
Home Page