Misura di potenza reattiva, inserzione Righi

Nei sistemi simmetrici ma squilibrati è necessario l'impiego di tre wattmetri, i primi due inseriti secondo Aron ed il terzo inserito in quadratura sul filo rimasto libero.

Ciascun wattmetro indica:

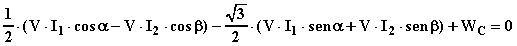
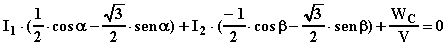
Per il primo principio di Kirchhoff deve essere nulla la somma dei tre vettori rappresentanti le correnti di linea, quindi sarà pure nulla la somma delle proiezioni dei vettori stessi su una generica direzione, ad esempio la direzione r del vettore rappresentante . Le proiezioni valgono:

Impongo che la somma sia nulla:

Si osserva che V·I1·cosa = WA , V·I2·cosb = WB e che V·I1·sena + V·I2·senb corrisponde alla somma delle indicazioni di due varmetri inseriti secondo Aron e, quindi, alla potenza reattiva Q impegnata dal carico. Sostituendo:

Risulta dimostrato come l'inserzione Righi permetta di misurare la potenza reattiva impegnata dal carico in un sistema simmetrico ma squilibrato. Ovviamente facendo la somma dei due wattmetri in Aron si ha pure la potenza attiva assorbita dal carico.

Osservazione: se il carico è equilibrato si ha WA - WB = WC.

Sistemi trifasi
Programma per la classe quarta
Home Page