Grandezze che caratterizzano il rotore

- f.e.m. indotta in ciascuna fase rotorica: che, riassumendo tutte le costanti, si riduce alla .Tale f.e.m. risulta essere variabile al variare delle frequenze rotoriche;

- velocità meccanica del rotore: n2 [g/1'];

- velocità con la quale il campo rotante taglia i conduttori di rotore: (n1 - n2) [g/1'];

- scorrimento assoluto:

- scorrimento percentuale: s% = 100·s ;

- dall'espressione dello scorrimento assoluto si ricava: n2 = n1·(1 -s) [g/1'];

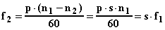
- essendo la velocità n1 del campo rotante legata alla frequenza f1 di alimentazione degli avvolgimenti statorici dalla , analogamente si avrà per il rotore:

cioè la frequenza rotorica varia con lo scorrimento;

- sostituendo nell'espressione della E2 ad f2 l'espressione appena ricavata si ottiene l'espressione .Chiamando la f.e.m. rotorica quando lo scorrimento vale 1 (ovvero quando il rotore è fermo) e quindi le frequenze rotoriche sono uguali a quelle statoriche, si avrà , cioè la f.e.m. rotorica varia con lo scorrimento ;

- rapporto di trasformazione del motore m = E1/E2(1) = (KA1·N1) / (KA2·N2) ;

- reattanza di dispersione di una fase rotorica X2(s) = X2(1)·s dove X2(1) è la reattanza a rotore bloccato quando le frequenze rotoriche sono uguali a quelle statoriche ;

- corrente in una fase rotorica I2(s) = E2(s) / Z2(s) , variabile con lo scorrimento essendo variabili sia la f.e.m. che la parte reattiva dell'impedenza.

Macchine asincrone
Programma per la classe quinta
Home Page