Funzionamento a 50 e 60 [Hz] con tensione applicata costante

Si immagini di avere un motore costruito per funzionare alla tensione V ed alla frequenza f = 50 [Hz]. Ci si chiede come si modificheranno le grandezze più caratteristiche se, mantenendo costante la tensione, si porta la frequenza a f* = 60 [Hz].

Campo rotante:

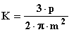
la velocità del campo rotante:

risulta essere direttamente proporzionale alla frequenza di alimentazione:

Flusso per polo:

il flusso, e quindi l'induzione nella macchina, risulta essere inversamente proporzionale alla frequenza di alimentazione. Questo fatto è facilmente dimostrabile ricordando l'espressione della forza elettromotrice (e quindi della tensione applicata a meno delle cadute di tensione nell'avvolgimento statorico):

Si avrà quindi:


Perdite nel ferro:

quelle per correnti parassite non variano in quanto esse dipendono dal quadrato sia dell'induzione che della frequenza e tali grandezze variano in misura inversamente proporzionale tra di loro. Quelle per isteresi diminuiscono all'aumentare della frequenza perché dipendono linearmente dalla frequenza e secondo un esponente maggiore di uno ( o 1,6 o 2 a secondo che sia BM < 1 [Wb / m2] o BM ³ 1 [Wb / m2] ) dall'induzione. In definitiva le perdite nel ferro diminuiscono leggermente all'aumentare della frequenza.

Corrente assorbita a vuoto e parametri trasversali:

considerando la piccola diminuzione delle perdite nel ferro conseguentemente all'aumento della frequenza, è lecito ritenere pressoché costante la componente attiva della corrente assorbita a vuoto. Questo significa considerare il parametro trasversale Ro del circuito equivalente invariato nel funzionamento a 50 e 60 [Hz]. Per quanto riguarda la componente magnetizzante della corrente assorbita a vuoto, si dovrà tenere conto del fatto che il flusso per polo varia con legge inversamente proporzionale con la frequenza e quindi anche la corrente magnetizzante seguirà la medesima variazione. Questo significa considerare il parametro trasversale Xm del circuito equivalente direttamente proporzionale alla frequenza:

Resistenza equivalente:

tale parametro, considerando che tiene conto soprattutto delle perdite ohmiche (ed in parte, molto minore, delle perdite addizionali) negli avvolgimenti, non varia con la frequenza e quindi ha lo stesso valore Re' sia a 50 che 60 [Hz]. Per quanto riguarda le perdite addizionali, che comunque sono una piccola frazione di quelle ohmiche, si ha che esse sono proporzionali al quadrato della frequenza.

Reattanza equivalente:

tale parametro del circuito equivalente, che tiene conto degli effetti autoinduttivi e dell'impegno di potenza reattiva causato dalle dispersioni di flusso, varia proporzionalmente con la frequenza essendo notoriamente la reattanza proporzionale alla frequenza (a parità di coefficiente d'autoinduzione):

Diagramma circolare:

legenda: O , O* origini del sistema di assi coordinati a 50 e 60 [Hz];

O__A corrente assorbita a vuoto a 50 [Hz];

O*__A corrente assorbita a vuoto a 60 [Hz];

C , C* punti di funzionamento in cortocircuito a 50 e 60 [Hz];

D , D* punti a scorrimento infinito a 50 e 60 [Hz];

A__C , A__C* rette potenze rese a 50 e 60 [Hz];

A__D , A__D* rette coppie a 50 e 60 [Hz];

Da quanto premesso, risulta facile disegnare il diagramma circolare relativo al funzionamento a 60 [Hz] se è noto quello relativo a 50 [Hz]. I due diagrammi conviene che siano tracciati mantenendo in comune il punto A di funzionamento a vuoto. Ne consegue che i punti O ed O* relativi all'origine dei vettori rappresentanti le correnti assorbite saranno distinti essendo la componente magnetizzante della corrente assorbita a vuoto dal motore a 60 [Hz] più piccola di quella relativa al funzionamento a 50 [Hz]. Anche i diametri AB ed AB* dei cerchi saranno diversi, più precisamente sarà AB* = AB·0,833 perché il diametro, a parità di tensione applicata, risulta essere inversamente proporzionale alla reattanza equivalente.

Per quanto riguarda i punti C* e D* sul diagramma a 60 [Hz] relativi rispettivamente agli scorrimenti 1 ed ¥ , si possono facilmente determinare attraverso la costruzione grafica rappresentata in figura.

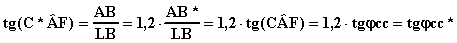
Vediamo la dimostrazione per il punto C* di corto:

Dalla figura:

Quindi ed il punto C* rappresenta effettivamente il punto di funzionamento in cortocircuito a 60 [Hz].

Avendo ora i due diagrammi circolari a disposizione diventa possibile effettuare, anche quantitativamente, qualsiasi confronto tra il funzionamento del motore a 50 e 60 [Hz]. Ad esempio si può verificare che la corrente assorbita a parità di coppia aumenta con la frequenza, a parità di scorrimento diminuisce, a parità di potenza resa aumenta. Occorre tenere presente che mentre le scale delle correnti e delle potenze sono le stesse per i due diagrammi, quelle delle coppie variano in ragione inversa della frequenza (essendo la velocità del campo rotante proporzionale alla frequenza).

Caratteristica meccanica:

La coppia di avviamento vale:

Ricordando che la reattanza di dispersione dipende dalla frequenza e trascurando a denominatore R22 rispetto Xd2(1)2 si ha che la coppia di avviamento è inversamente proporzionale al cubo della frequenza:

La coppia massima vale:

Per quanto sopra detto risulta evidente come la massima coppia sia inversamente proporzionale al quadrato della frequenza. Sia per la coppia di avviamento che per la coppia massima si può inoltre affermare che la loro diminuzione in seguito ad un aumento della frequenza è ancora più marcata di quanto appena detto, infatti all'aumentare della frequenza aumenta pure la reattanza di dispersione dello statore così che aumenta la caduta di tensione statorica ed, a parità di tensione applicata, diminuisce la f.e.m. E1 e con essa la coppia.

Lo scorrimento per il quale si ha la massima coppia vale:

Per quanto sopra detto risulta evidente come tale scorrimento vari in misura inversamente proporzionale con la frequenza. La differenza non dipende invece dalla frequenza, infatti risulta essere e, mentre n1 aumenta con la frequenza, sCMAX diminuisce con la frequenza.

Dall'espressione generale della coppia motrice generata:

e nel caso di piccoli scorrimenti, così che a denominatore si possa trascurare Xd2(1)2 rispetto R22 , si dimostra che a coppia costante lo scorrimento è inversamente proporzionale alla frequenza.

Potenza meccanica erogata:

è importante tenere presente la legge meccanica con cui varia la coppia resistente delle macchine operatrici al variare della velocità, questo per valutare le conseguenze che un aumento della frequenza e quindi della velocità ha sulla potenza meccanica erogata (e quindi anche sulla corrente assorbita) dal motore.

Per le macchine utensili la coppia resistente non dipende dalla velocità e quindi la potenza erogata dal motore cresce proporzionalmente con la frequenza.

Per le pompe centrifughe ed i ventilatori la coppia resistente è proporzionale al quadrato della velocità e quindi la potenza erogata dal motore cresce proporzionalmente col cubo della frequenza.

Macchine asincrone
Programma per la classe quinta
Home Page