Motore asincrono monofase

Sono motori frazionari (cioè di piccola potenza, anche inferiore al kilowatt) ampiamente utilizzati negli elettrodomestici più diffusi in quanto funzionano alimentati da tensioni monofase. Il loro rotore è quasi sempre del tipo a gabbia, mentre lo statore presenta un avvolgimento principale monofase (che può essere multipolare) ed un avvolgimento ausiliario (necessario unicamente per l'avviamento).


Trascurando l'avvolgimento ausiliario ed immaginando presente il solo avvolgimento principale, se si alimenta il motore con una tensione alternata sinusoidale si originerà un campo magnetico alternativo e sinusoidale che, come abbiamo visto a suo tempo, può essere pensato come la composizione di due campi rotanti con versi opposti. La velocità dei due campi controruotanti sarà pari a n1 = 60·f1/p , mentre la loro intensità sarà la metà di quella del campo alternato. Ciò permette di sostituire idealmente la macchina monofase con due motori trifasi eguali calettati sullo stesso albero e collegati ad una linea trifase di tensione concatenata pari alla tensione di alimentazione del motore monofase, con l'avvertenza di dare luogo a due campi rotanti con versi opposti.

Facciamo ruotare l'albero comune alle due macchine con una certa velocità n2 di verso concorde col verso della velocità del campo rotante della macchina di sinistra, si avranno i seguenti due scorrimenti:

tra di loro vincolati dalla ovvia relazione (sS + sD) = 2. L'andamento della coppia motrice CM della macchina monofase sarà ovviamente dato dalla composizione dei diagrammi relativi alle coppie CMS e CMD delle due macchine trifasi equivalenti. Si ha la particolarità che la coppia di spunto della macchina monofase è nulla. I campi di stabilità sono ovviamente costituiti dai rami ab e cd.

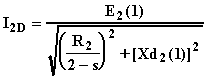
Cerchiamo di determinare le correnti che circolano nel rotore della macchina monofase. Ricordando l'equivalenza istituita tra macchina monofase e due macchine trifasi, per la macchina di sinistra, indicando con s il suo scorrimento, si ha alla frequenza mentre nella macchina di destra si ha alla frequenza essendo E2(1) la f.e.m. indotta all'avviamento la stessa per entrambi i motori. Le correnti circolanti nel rotore delle macchine di sinistra e di destra valgono rispettivamente:

dove Xd2(1) è la reattanza di dispersione all'avviamento, comune per entrambi i motori. Quando le due macchine sono ferme (s = 1) si ha I2S = I2D = I2AV. Al variare dello scorrimento si osserva che la I2D resta praticamente costante per ogni condizione di funzionamento perché è, per 0 < s < 1, trascurabile rispetto [Xd2(1)]2 , inoltre è fortemente sfasata in ritardo sulla f.e.m. ed ha, infine, una frequenza molto più alta di quella di I2S. In definitiva, nel rotore della macchina monofase circola una corrente fortemente in ritardo sulla f.e.m. che richiama dalla linea esterna una corrente altrettanto in ritardo per cui il f.d.p. di un motore asincrono monofase è molto basso.

Per creare una coppia di spunto nel motore asincrono monofase e renderlo così autoavviante si ricorre all'avvolgimento ausiliario (di poche spire), collegato elettricamente in parallelo al principale (detto anche avvolgimento di marcia) e collocato nelle cave statoriche in modo tale da risultare, rispetto al principale, sfasato nello spazio di 90°. All'avvolgimento ausiliario si pone in serie un condensatore in modo tale che la corrente da esso assorbita risulti quasi in quadratura con quella assorbita dall'avvolgimento principale. In tal modo si realizza un sistema bifase in grado di produrre un campo rotante che, se opportunamente dimensionato, può fornire una sufficiente coppia di spunto. Si può disinserire l'avvolgimento ausiliario ad avviamento avvenuto mediante l'impiego di un interruttore centrifugo.

Il basso f.d.p. proprio del motore monofase obbliga praticamente al rifasamento, che può essere fatto lasciando inserito il condensatore di avviamento, oppure utilizzando un secondo condensatore.

L'inversione di marcia all'avviamento si ha invertendo il collegamento alla rete monofase del solo avvolgimento ausiliario.

Macchine asincrone
Programma per la classe quinta
Home Page