Esempio di prova termica su di un motore

Questa prova ha lo scopo di verificare la sovratemperatura massima raggiunta in uno degli avvolgimenti statorici di un motore asincrono trifase.

1) Si misura a freddo (cioè con la macchina a riposo da lungo tempo così che la sua temperatura coincida con la temperatura ambiente) la resistenza Ohmica R1 e la temperatura T1 di una delle tre fasi statoriche. Per tale misura si usa il metodo voltamperometrico col voltmetro a valle e si corregge l'errore di autoconsumo. La corrente di prova deve essere inferiore ad 1/10 di quella nominale dell'avvolgimento. Dopo aver impostato la corrente di prova è bene aspettare alcuni secondi prima della lettura degli strumenti affinché si esaurisca il transitorio elettrico dovuto alla elevata induttanza propria dell'avvolgimento.

2) Si alimenta la macchina alla sua tensione nominale e la si carica (utilizzando un freno Pasqualini) fin tanto che assorba la sua corrente nominale, quindi la si mantiene sotto carico per un tempo sufficiente a farle raggiungere la condizione di equilibrio termico (ovvero 4 o 5 volte la costante di tempo, quindi 4 o 5 ore). Durante tale tempo, se necessario, si varia la tensione di alimentazione affinché rimanga quella nominale e l'azione del freno affinché la corrente assorbita sia pure quella nominale. Nella parte finale della durata di carico, si misura la temperatura ambiente finale Taf.

3) Si distacca la macchina dal carico e dalla alimentazione e, entro 30 [sec], si inizia a rilevare la resistenza a caldo dell'avvolgimento R2 usando gli stessi strumenti e la stessa corrente della misura a freddo. Contemporaneamente si rilevano il tempo t trascorso dal momento di distacco del carico e la temperatura ambiente. Tali misure si ripetono più volte, (almeno due). Si calcola quindi la tabella :


dove :


4) Si traccia il diagramma ln(DT)=f(t) interpolando con una retta i punti sperimentali. Da tale diagramma si risale al valore massimo della sovratemperatura raggiunta a regime dall'avvolgimento un istante prima del distacco del carico DTmax ed al valore della costante di tempo t .

5) Si può quindi scrivere l'espressione analitica della funzione esponenziale descrivente la curva di raffreddamento:

e disegnare la curva stessa.

6) Si procede quindi al confronto tra la temperatura massima raggiunta (DTmax+Taf) e la temperatura limite ammessa dalle norme CEI (DTlim+Taconv) traendone le dovute conclusioni. Anche il valore rilevato della costante di tempo andrà confrontato con quello atteso.

7) Nel caso in cui la temperatura massima raggiunta sia diversa da quella limite, supponendo che il riscaldamento sia causato principalmente dall'effetto Joule e che la potenza erogata sia proporzionale alla corrente negli avvolgimenti (cosa più lecita per i trasformatori che non per le macchine rotanti), si può determinare, con riferimento alla stessa temperatura ambiente finale Taf , la massima potenza erogabile in servizio continuo Psc con gli avvolgimenti che raggiungono la temperatura limite:


8) Sempre nei limiti sopra ricordati, è possibile calcolare la potenza Psli erogabile in servizio a durata limitata avendo prefissato un durata pari a tli [sec] (ovviamente significativamente inferiore a quattro o cinque volte la costante di tempo), con l'avvolgimento che raggiunge senza superarla la temperatura limite:


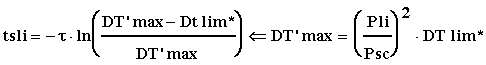
9) Sempre nei limiti sopra ricordati, è possibile determinare la durata di un servizio limitato nel tempo tsli con potenza erogata prefissata Pli (ovviamente significativamente maggiore di quella massima per il servizio continuo), con l'avvolgimento che raggiunge senza superarla la temperatura limite:


10) Per una esecuzione rigorosa della prova sarebbe necessario interporre tra il disco del freno Pasqualini e l'albero del motore cui esso è coassiale una flangia di adeguato isolante termico. Infatti l'elevato riscaldamento del disco durante la prova produce per conduzione termica un ulteriore riscaldamento sia dell'albero che del rotore del motore ed infine, per convezione attraverso il traferro, un ulteriore riscaldamento dell'avvolgimento statorico in prova. Tali effetti diventano ancora più accentuati dopo il distacco del carico e l'arresto del motore poiché viene a mancare l'effetto refrigerante dovuto alla rotazione del disco e del rotore.

Nel nostro caso non procederemo all'interposizione della flangia isolante perché questa potrebbe rendere meno sicuro l'aggancio del disco all'albero e provocare, nel caso di un distacco improvviso del disco durante la rotazione, gravi danni.

Per minimizzare gli effetti negativi sulla precisione della misura dovuti a quanto sopra esposto, rileveremo la temperatura durante il raffreddamento per un tempo breve eseguendo, ad esempio, due sole misurazioni intervallate di circa soli sei o sette minuti.

Macchine asincrone
Programma per la classe quinta
Home Page