Transitorio di carica e scarica nei condensatori

Prendiamo in considerazione le leggi di variazione nel tempo della corrente nel circuito i(t) e della tensione v(t) ai capi del condensatore durante la fase di carica dello stesso. Assumiamo che il condensatore sia inizialmente scarico v(0-) = 0 , ovvero sia inizialmente nulla la carica accumulata sulle sue armature (condizioni iniziali nulle). Individuiamo come istante iniziale t = 0 [s] quello coincidente con la chiusura dell'interruttore K . A partire da tale istante iniziale si avrà un graduale aumento della tensione ai capi del condensatore che raggiungerà il valore definitivo Vo solo dopo un tempo infinito. In realtà si potrà ritenere esaurita la fase di carica quando la tensione ai capi del condensatore avrà superato il 99% del valore finale Vo (valore a regime). Tale intervallo di tempo, durante il quale variano sia la tensione ai capi del condensatore che la corrente nel circuito, viene detto transitorio elettrico ed è presente in qualsiasi circuito che contenga dispositivi capaci di immagazzinare energia (condensatori ed induttori) ogniqualvolta vari una delle grandezze (tensione o corrente) applicate al circuito. Infatti, nel corso della carica del condensatore, l'energia immagazzinata nel suo campo elettrico richiede tempo per passare da zero al valore finale. Se così non fosse, ovvero se la carica si realizzasse istantaneamente, si dovrebbe presumere di avere a che fare con un generatore di potenza infinita la qual cosa è un assurdo fisico. Per ciascun circuito elettrico si può individuare una grandezza caratteristica chiamata costante di tempo t che serve a valutare la durata del transitorio. Infatti si può dimostrare che il transitorio ha una durata pari a circa t . La legge di variazione sia della tensione ai capi del condensatore che della corrente nel circuito è di tipo esponenziale.

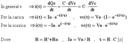
Vediamo di riassumere le più importanti proprietà.

A sinistra sono mostrate le leggi che regolano la carica, a destra quelle della scarica. Al flusso ordinato di carica elettrica costituente la corrente di carica (scarica) corrisponde uno spostamento elettrico di carica nel dielettrico compreso tra le armature del condensatore che si polarizza (depolarizza). Al lavoro compiuto dal generatore corrisponde, a meno della potenza elettrica dissipata nelle resistenze, l'energia accumulata nel dielettrico del condensatore; tale energia è totalmente dissipata nelle resistenze durante la scarica.

Si ricorda che la lettera e che compare nella espressione esponenziale è la base dei logaritmi naturali, ovvero il numero 2,718...

In qualsiasi processo regolato da una legge esponenziale, la costante di tempo rappresenta il tempo necessario al completamento del processo nel caso in cui lo stesso avvenga ad una velocità costante e pari a quella dell'istante iniziale. Detto in altre parole, la tangente nell'origine alla curva esponenziale interseca l'orizzontale di ordinata pari al valore a regime in corrispondenza dell'ascissa pari alla costante di tempo.

Elettrostatica
Programma per la classe terza
Home Page