Teoria degli errori, propagazione degli errori, cifre significative ed arrotondamenti

Teoria degli errori

Una misura non è mai esatta, se non per caso, ma sempre affetta da errori. Con particolare riferimento alle misure elettriche, oltre agli errori grossolani dovuti a disattenzione, di ampiezza tale da essere immediatamente riconoscibili, che ovviamente portano a risultati che vanno subito scartati, si possono avere due tipi di errori:

a) errori sistematici, che influenzano il risultato della misura sempre nello stesso senso e non possono pertanto venire compensati facendo la media di più misurazioni. Sono tali gli errori strumentali dipendenti dalle caratteristiche costruttive degli strumenti di misura e gli errori dipendenti dall'autoconsumo degli strumenti impiegati e cioè conseguenti agli assorbimenti di corrente degli strumenti collegati in derivazione ed alle cadute di tensione provocate dagli strumenti collegati in serie. Gli errori sistematici possono essere sempre determinati (eseguendo un'accurata indagine critica del metodo impiegato e delle apparecchiature usate) e risulta così possibile apportare le opportune correzioni al risultato della misura od almeno individuare l'incertezza che accompagna il risultato della misura.

b) errori accidentali, dovuti a cause che si possono immaginare in linea di principio ma di cui non si possono prevedere gli effetti. In genere sono conseguenza dell'incertezza con cui sono poste determinate condizioni di misura che vengono invece considerate come se fossero attuate esattamente: per esempio piccole oscillazioni della temperatura ambiente, piccole variazioni della resistenza di contatto di morsetti o commutatori possono influenzare i risultati di una misura introducendo errori rispetto al valore vero della grandezza misurata. Gli errori accidentali hanno la proprietà di essere variabili sia in valore che in segno e si individuano ripetendo una misura diverse volte con gli stessi strumenti e in condizioni che, per quanto sta nelle facoltà dell'operatore, possono essere ritenute costanti. L'eventuale discordanza dei risultati, supposto nullo ogni errore sistematico, sarà dovuta alla presenza di errori accidentali. La teoria degli errori accidentali viene svolta mediante la matematica probabilistica e tale argomento esula dalla nostra trattazione.

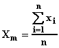
Ricordiamo solo che, ripetendo n volte la misura della stessa grandezza, se xi è il risultato della prova i-esima, il valore più probabile della grandezza in misura è la media aritmetica dei risultati:

Si definisce scarto della misura i-esima rispetto al valore medio la differenza zi = xi - Xm con:

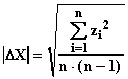
Il valore dell'errore assoluto da associare al valore medio è lo scarto quadratico medio:


Nella pratica normale delle misure elettriche accade che gli errori sistematici che non si riesce a correggere, chiamati errori sistematici residui, prevalgono nettamente sugli errori accidentali così che prove ripetute sulla medesima grandezza danno tutte gli stessi risultati. Si assume pertanto come misura della grandezza il valore ottenuto da un'unica prova e come errore l'errore massimo (somma di tutti gli errori sistematici residui).

Si definisce errore assoluto la differenza tra il valore misurato ed il valore vero di una grandezza:

Si definisce errore relativo il rapporto fra l'errore assoluto ed il valore vero, considerando però che DX è di solito piccolo, al valore vero si può sostituire il valore misurato:

Se l'errore assoluto DX è noto nel valore e nel segno si può calcolare il valore vero, noto che sia quello misurato:

Più spesso si hanno errori noti in ampiezza ma non nel segno, quindi si potrà solo determinare l'intervallo di valori entro il quale certamente è contenuto il valore vero:

Risulta così definita l'incertezza (imprecisione) con la quale si conosce il risultato della misurazione, esprimibile in valore assoluto od in valore relativo percentuale .

Propagazione degli errori

Spesso è necessario ricavare il valore di una grandezza sviluppando operazioni di calcolo sui valori misurati di altre grandezze. Chiamiamo con Am , DA , eA , Bm , DB , eB i valori misurati e gli errori assoluto e relativo di due grandezze, di tali errori si immagina di non conoscerne il segno e quindi di assumerli nei calcoli ponendosi sempre nelle condizioni più sfavorevoli. Ciò premesso è possibile calcolare il massimo possibile valore dell'errore della grandezza calcolata, valore che ha il 100% di possibilità di non essere superato.

a) somma aritmetica delle grandezze:

Sm = Am + Bm , DS = ± (DA + DB) ,

Si può osservare che nel caso di somma di più termini, se uno di essi è molto piccolo rispetto agli altri, l'importanza dell'errore che ad esso compete è piccola anche se tale errore è relativamente elevato. Inoltre l'errore relativo della somma è sempre più piccolo dell'errore relativo massimo commesso nelle misure delle singole grandezze.

b) differenza aritmetica delle grandezze:

Dm = Am - Bm , DD = ± (DA + DB) ,

Il risultato della differenza è affetto da un errore relativo sempre maggiore degli errori relativi delle singole grandezze sulle quali si è operato. Tale errore relativo è tanto più grande quanto più le grandezze misurate sono tra di loro vicine, addirittura tende ad infinito se Bm tende ad Am. Quindi bisogna evitare metodi di misura che prevedano calcoli di differenza tra due grandezze.

c) prodotto delle grandezze:

Pm = Am · Bm , DP = ± (DA·Bm + DB·Am+ D DB) @ ± (DA·Bm + DB·Am)

Essendo l'errore relativo del prodotto pari alla somma degli errori relativi delle singole grandezze misurate, queste devono essere tutte misurate con la stessa cura.

d) potenza e radice (sottocasi del prodotto):

Wm = Amn , eW @ ± n·eA


e) quoziente delle grandezze:

Valgono le stesse considerazioni fatte sul prodotto.

f) coseno:

C = cosjm , eC @ ± Dj·tgjm , DC @ ± eC·C

dove jm è il valore misurato dell'angolo e Dj il corrispondente errore assoluto.

Cifre significative ed arrotondamenti

Nell'esprimere il risultato di una misura per mezzo del corrispondente valore numerico occorre tenere presente che, a causa della imprecisione della misura, tale valore numerico potrebbe contenere una o più cifre prive di significato.

Ad esempio supponiamo di leggere sulla scala di un voltmetro l'indicazione Vm = 156,4 [V]. Se l'incertezza della misura, espressa in valore assoluto, vale DV = 5 [V] risulta evidente che non ha nessun senso trascrivere anche l'ultima cifra del valore misurato e cioè i 4 decimi di [V].

In linea generale i risultati di una misura debbono essere rappresentati in modo da limitare il numero di cifre significative a quelle che sono prive di incertezza, fatta eccezione per l'ultima che deve essere arrotondata in relazione alle cifre seguenti. Una regola pratica che può essere adottata è la seguente: nel riportare il risultato di una misura possono essere trascurate tutte quelle cifre che comportano una variazione minore di un decimo dell'errore assoluto della misura stessa.

Osservazione: le cifre significative sono quelle che si incontrano nel numero a partire dalla prima cifra di sinistra diversa dallo zero. Ad esempio il valore 0,00201 ha tre cifre significative, il valore 0,002010 ha quattro cifre significative.

Osservazione: gli esempi seguenti mostrano come arrotondare a due cifre significative alcuni valori:

0,1245 @ 0,12 , 0,12501 @ 0,13 , 0,1205 @ 0,12 , 0,125 @ 0,12 , 0,135 @ 0,14

In definitiva, la cifra da approssimare si lascia inalterata (arrotondamento per difetto) se quella che segue è minore di 5, si aggiunge una unità (arrotondamento per eccesso) se quella che segue è maggiore di 5 (oppure 5 seguito da altre cifre non tutte nulle), è indifferente come si approssima se quella che segue è 5 seguito eventualmente da tutti zeri anche se è in uso lasciare la cifra inalterata se è pari e aggiungere una unità se è dispari.

Misure elettriche
Programma per la classe terza
Home Page