Grandezze alternate sinusoidali

Sono grandezze (nel caso di circuiti elettrici tensioni e correnti) che variano nel tempo secondo la legge:

y(t) = YM·sen(w·t + aO)

rappresentabile anche graficamente:

Si tratta di grandezze periodiche in quanto riassumono sempre lo stesso valore ad istanti di tempo tra di loro intervallati di K·T [s] con K = ±1 , ±2 , ... ove T [s] è detto periodo.

Si tratta di grandezze alternate in quanto, considerato un intervallo qualsiasi di tempo di ampiezza pari al periodo T , l'area sottesa dalla parte positiva della funzione è uguale all'area sottesa dalla parte negativa della funzione. Per tale motivo si dice che il valore medio in un periodo è nullo.

I valori caratterizzanti di una grandezza che varia sinusoidalmente nel tempo sono:

a) Il valore massimo YM ;

b) Il periodo T [s] ;

c) La frequenza f = 1 / T [Hz] che rappresenta il numero di sinusoidi al secondo;

d) La pulsazione:

e) L'argomento iniziale aO [rad];

f) Il valore iniziale YO;

g) Il valore medio in un semiperiodo:

che rappresenta l'altezza del parallelogramma di base T / 2 affinché l'area del parallelogramma stesso sia uguale all'area sottesa da un'intera semionda positiva;

h) Il valore efficace:

che, matematicamente, ha il significato di radice quadrata del valore medio in un periodo dei quadrati dei valori istantanei (più avanti esamineremo il suo significato fisico);

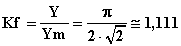
i) Il fattore di forma:

Reti elettriche in corrente continua e corrente alternata
Programma per la classe terza
Home Page