Forme rappresentative per i numeri complessi, operazioni

Vediamo ora in quali forme si può rappresentare un numero complesso che, analiticamente, raffigura un vettore giacente sul piano di Gauss. Inoltre prenderemo in considerazione alcune delle operazioni che si possono eseguire sui numeri complessi. Quanto segue si limita a quelle poche informazioni direttamente utili nell'analisi dei circuiti elettrici in corrente alternata sinusoidale, una trattazione più completa e rigorosa dei numeri complessi viene fatta nel corso di matematica.

a) Forma algebrica : ove a è la parte reale, j·b è la parte immaginaria. I valori di a , b sono numeri reali (quindi possono essere sia positivi che negativi). Tale forma è utile nel caso si debba eseguire la somma di due numeri complessi:


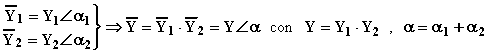
b) Forma polare : ove Y è il modulo ed a l'argomento. Il modulo è un numero reale sempre positivo, mentre l'argomento è l'angolo misurato tra il semiasse reale positivo ed il vettore e, quindi, positivo se misurato in senso antiorario, negativo se misurato in senso orario. Tale forma è utile nel caso si debba eseguire il prodotto od il quoziente tra due numeri complessi:


Per convertire dalla forma algebrica (detta anche rettangolare) alla forma polare:


Per convertire dalla forma polare alla forma algebrica:


c) forma trigonometrica : con ovvio significato.

d) forma esponenziale : che deriva dalla formula di Eulero per la quale si ha:

Tale forma è particolarmente utile nel caso in cui il numero complesso debba rappresentare un vettore ruotante (come accade per le grandezze sinusoidali quando non si voglia omettere l'informazione riguardante la pulsazione); infatti se w è la velocità angolare si ha:

Reti elettriche in corrente continua e corrente alternata
Programma per la classe terza
Home Page