Complementi matematici

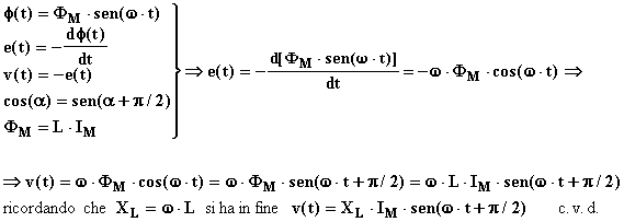
Nelle dimostrazioni delle relazioni tra tensione e corrente in regime sinusoidale per le induttanze e le capacità abbiamo fatto ampiamente ricorso all'intuito. Dimostrazioni analiticamente rigorose si possono fare solo conoscendo l'operazione di derivazione rispetto al tempo di una funzione, argomento che si affronterà in matematica nel corso del quarto anno. A titolo di complemento anticipiamo quanto sarà comprensibile solo il prossimo anno:

Induttanza


capacità

Reti elettriche in corrente continua e corrente alternata
Programma per la classe terza
Home Page