Impedenza elettrica, triangolo delle potenze

Si tratta di un operatore vettoriale (quindi una grandezza complessa, non una grandezza variabile sinusoidalmente nel tempo) così definito:


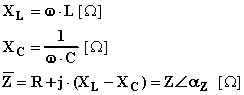
L'impedenza riassume la resistenza e la reattanza complessive di un ramo infatti se w è la pulsazione della tensione alternata sinusoidale applicata al ramo, si ha:


Il modulo dell'impedenza vale ovviamente:

mentre il suo argomento vale:

e tale argomento coincide con lo sfasamento tra la tensione applicata all'impedenza e la corrente che percorre l'impedenza.

Le potenze che riguardano l'impedenza sono:

potenza attiva :

P = V·I·cos(jV,I) = R·I2 [W]

potenza reattiva, da considerarsi induttiva se positiva, da considerarsi capacitiva se negativa :

Q = V·I·sen(jV,I) = (XL - XC)·I2 [VAR]

modulo potenza apparente, che riassume le prime due :

potenza apparente complessa ( è il coniugato di ) :


Le tre potenze di cui sopra si possono riassumere nel seguente triangolo delle potenze:

per il quale valgono le seguenti relazioni:

Reti elettriche in corrente continua e corrente alternata
Programma per la classe terza
Home Page