Ammettenza elettrica

E' un operatore vettoriale definito come l'inverso dell'impedenza:


La parte reale dell'ammettenza è chiamata conduttanza, la parte immaginaria è chiamata suscettanza. L'ammettenza, la conduttanza e la suscettanza si misurano in siemens, [W-1] = [S].

Si dimostra facilmente che il modulo dell'ammettenza è pari all'inverso del modulo dell'impedenza, mentre l'argomento dell'ammettenza è l'opposto dell'argomento dell'impedenza.

L'operatore vettoriale ammettenza può essere usato per la risoluzione delle reti elettriche. La legge di Ohm diventa:

La serie di più ammettenze si calcola con l'espressione:

mentre il parallelo di più ammettenze si calcola con l'espressione:


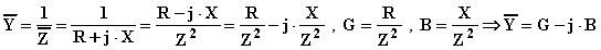
Vediamo ora la trasformazione serie-parallelo dei parametri di una impedenza:

Perché i due circuiti siano equivalenti, quando vengono sottoposti alla stessa tensione devono assorbire la stessa corrente. Quindi sarà:

da cui:


Si osserva che i parametri parallelo dell'impedenza altro non sono che l'inverso della conduttanza e della suscettanza dell'ammettenza equivalente all'impedenza data.

Reti elettriche in corrente continua e corrente alternata
Programma per la classe terza
Home Page