Esercizio N° 10 (circuito in c.a., applicazione di Kirchhoff)

Applicando il metodo dei principi di Kirchhoff determinare le correnti i(t) , i1(t) , i2(t) nei tre rami della seguente rete:


I valori dei parametri della rete sono i seguenti:

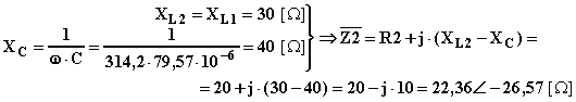
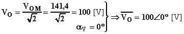
vO(t) = 141,4·sen(314,2·t) [V] , R0 = 5 [W] , R1 = R2 = 20 [W] , L1 = L2 = 95,48 [mH] , C = 79,57 [mF]

Per prima cosa passo al circuito delle impedenze:


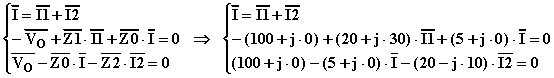
Ora assegniamo il verso alle correnti nei tre rami (che dovrà essere lo stesso nel circuito di partenza e nel circuito alle impedenze), quindi assegniamo il verso alle due maglie contigue e scriviamo il sistema risolvente applicando il primo principio di Kirchhoff al nodo superiore ed il secondo principio alle due maglie contigue:


che ordinato e risolto rispetto fornisce:


L'espressione ai valori istantanei delle tre correnti vale (con gli argomenti iniziali espressi in radianti per omogeneità con le pulsazioni in [rad/s] ):


I diagrammi vettoriale ed ai valori istantanei sono:




Reti elettriche in corrente continua e corrente alternata
Programma per la classe terza
Home Page